Mixing Salt & Water with Separable Differential Equations
Let's do some more mathematical modelling. Differential equations can be helpful in calculating the concentration of a mixture at any given time in a reservoir.

Image source
For instance, let's say we have a tank which is initially filled with 15kg of salt dissolved in 3000L of water. Brine, at a concentration of 20 grams per litre (0.02kg/L), is flowing into the tank at a rate of 10 litres per minute. It is thoroughly mixed with the solution that's already in the tank. At the bottom of the tank, there is a pipe which is draining the mixed solution at the same flow rate as the brine flowing in. How much salt is in the tank after 1 hour?
To solve this problem, we let y(t) be the amount of salt in the tank at any given time, t. At any time, the rate of change of salt dy/dt is the difference between the rate salt coming into the tank to the rate of salt leaving the tank. That is...

Now the rate of salt coming into the tank is simply the concentration of the brine by the flow rate of the solution. That is...

The rate of salt leaving the tank, after being thoroughly mixed is similarly, the concentration of the solution by its flow rate...

Ok, disregarding the units, we have a differential equation depicting the rate of change of salt in our tank, which we can solve...

Note that the above is a separable, first-order, linear differential equation. Now to write it in differential form...

...and solve by integrating both sides...

Now that we have the general solution, let's apply the initial condition where we start with 15 kg in the 3000 L tank. So, at time 0...

And thus the particular solution for this initial value problem is...

Now, to find the amount of salt mixed in the tank after 1 hour, at time t = 60min...

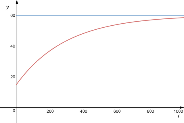
A graph of the solution is shown below...

As we can see, the amount of salt in the tank at the start is 15kg. As time goes on, the amount of the salt approaches a maximum of 60kg.
That will complete this tutorial. Below is a list of tutorials I've created so far on Differential Equations:
First-Order Differential Equations with Separable Variables - Example 1
Exponential Decay: The mathematics behind your Camping Torch with dy/dx = -ky
Mixing Salt & Water with Separable Differential Equations
Please give me an Upvote and Resteem if you have found this tutorial helpful.
Please ask me a maths question by commenting below and I will try to help you in future videos.
I would really appreciate any small donation which will help me to help more math students of the world.
Tip me some DogeCoin: A4f3URZSWDoJCkWhVttbR3RjGHRSuLpaP3
Tip me at PayPal: https://paypal.me/MasterWu
I love to see science on Steemit!
Thank you. Me too!