Why Did Popeye Consume Spinach?

in #steemstem8 years ago (edited)

As a youngster growing up in England during the early 1960's, my brothers and I would watch Popeye cartoons on BBC (usually on Saturday mornings on a black and white TV). Ingrained in our psyches were the phrases:

“I’m strong to the finish, ’cause I eats me spinach…” and "I yam what I yam"

popeye.png
Popeye and Spinach. Image Source: The Great Popeye Spinach Decimal Point Myth. July 7, 2016, By Gaz Smith

This was my first introduction to the mystical power of spinach. Little did I know that later in my life I would do research on this plant and would now be putting my spin on spinach here in the steemit community.

There have been various myths about spinach's health benefits and why Popeye was a frequent consumer (some would even say a spinach addict), including the myth that spinach has a super-high iron content. As explained by Smith (2016) it has been erroneously reported that a misplaced decimal point gave spinach 10x more iron than the actual amount observed when it was first analyzed. However, the true cause of this error was probably specimen contamination and/or use of charcoal in sample preparation. The high vitamin A content of spinach apparently was the real reason that Popeye relied upon this vegetable for strength according to Smith (2016).

My own Popeye thesis, however (and I truly hope that I will be eligible for being awarded a P(opeye)hD for this!), is that Popeye was actually consuming spinach for its betaine content, as I will explain in detail below.

Background

Spinach is a member of the Amaranthaceae (formerly known as the Chenopodiaceae) family of angiosperms that includes other vegetables such as beet and swiss chard. This family is a member of the Caryophyllales order that includes many insectivorous plants (see my prevous posts on Insectivorous Plants - Part 1 to Part 4), and plants which possess the red and yellow pigments known as betalains (see my previous post on Betalains - Unusual Plant Pigments). Because spinach does not contain betalain pigments and does not produce L-DOPA (the betalain precursor), we can conclude that Popeye was not self-medicating with spinach for Parkinson's disease!

While spinach does not contain betalains, it has retained many of the salt tolerance traits characteristic of its wild ancestors.

220px-Betaine_Formula_V.1.svg.png
Structure of Betaine. Image Source

Spinach, beet and swiss chard accumulate a compound known as glycine betaine (often referred to as simply "betaine" and also known as N,N,N-trimethylglycine), which is thought to be an osmoprotectant and compatible osmotic solute. It is accumulated in the cytoplasm and chloroplasts of many salt tolerant plant species to high levels, maintaining osmotic solute balance between the cytoplasm and chloroplast and the vacuole of plant cells. The vacuole is used to sequester toxic sodium chloride, preventing damage to proteins and membranes in the cytoplasm and chloroplast. The high concentrations of betaine in the cytoplasm and chloroplast required to balance this osmotic potential of the salt-rich vacuole is not detrimental to enzymatic activity. Rather, it stabilizes folded protein structures preventing their denaturation. Synthesis of betaine in spinach is up-regulated in response to salinity stress (Rhodes and Hanson (1993)).

Betaine was first isolated from sugar beet (Beta vulgaris subsp. vulgaris) (Betaine - Wikipedia). It is now produced in large quantities in the sugar beet processing industry. Here beet extracts are passed over an ion exchange resin. Sugars pass through this resin, while amino acids and betaine are retained. The resin, when it has reached its capacity, has to be regenerated, which is usually performed by passing ammonium hydroxide over the resin. The ammonium hydroxide releases all of the bound amino acids and betaine. As the ammonium hydroxide eluant evaporates (as ammonia gas) this leaves a rich amino acid and betaine residue.

Betaine and Human Health

Betaine plays an important and often under-recognized role in human health. First, betaine acts as a compatible solute and osmoprotectant in human kidneys. Second, it can compensate for vitamin B12 and/or folate deficiencies that lead to a wide variety of human health problems, including hyperhomocysteinemia, cardiovascular disease, end-stage renal disease, neural tube defects, cognitive dysfunctions, and liver disease (Mato and Lu (2005), Zaric et al. (2018)).

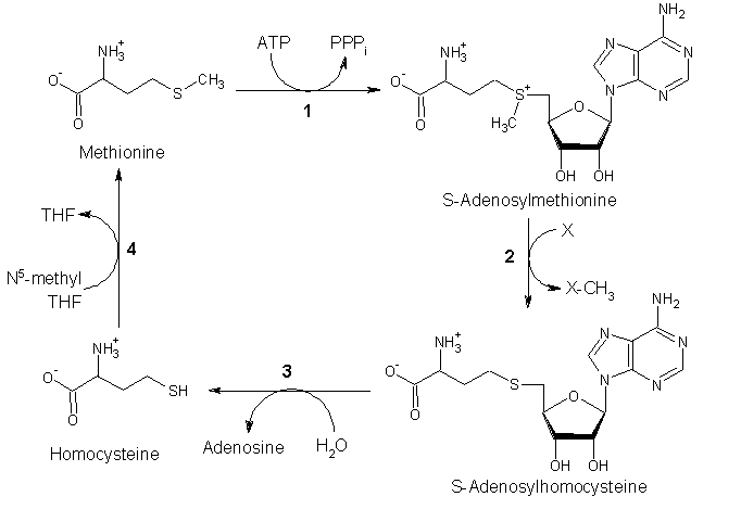
To fully understand the latter point, it is first necessary to appreciate the importance of the transmethylation cycle in human metabolism. This cycle is shown in the image below:

Met_pathway.gif
Transmethylation Cycle. Image adapted from: Transmethylation - Wikipedia

The function of this cycle is to transfer methyl groups from methyltetrahydrofolate (N5-methylTHF) to the methylating agent S-adenosylmethionine (SAM, SAMe, AdoMet). Enzymes called methyltransferases then use SAM as substrate to methylate a wide range of molecules, including DNA. In humans over 100 methylation reactions are known to rely on SAM (Smith et al. (2018)). These multiple methyltransferase reactions (#2) are simply depicted as (X --> X-CH3) in the image above.

In plants, SAM is used to make methylbenzoate, methysalicylate, methylcinnamate, choline, methylated anthocyanins .... and a huge number of other compounds.

When SAM is used as a methyl donor, this leaves S-adenosylhomocysteine which can then be converted back to homocysteine and re-methylated (to form methionine) using a methyl group from methyltetrahydrofolate (N5-methylTHF). The enzyme catalyzing the conversion of homocysteine to methionine (methionine synthase) (#4 in the image above) is vitamin B12-dependent in animals (including humans). Methyltetrahydrofolate is derived from 5,10-methylenetetrahydrofolate. A reductase (MTHFR; not shown in the above image) converts 5,10-methylenetetrahydrofolate --> methyltetrahydrofolate (N5-methylTHF).

Folate and Vitamin B12 Deficiencies

The problem for human health arises when there is folate deficiency (causing lack of methyltetrahydrofolate) or vitamin B12 deficiency (causing low activity of methionine synthase) in the diet. This impairs methionine synthesis (see red cross in the image below) ... homocysteine builds up, as does S-adenosylhomocysteine, which then feedback inhibits all methyltransferases:

Met_pathway2.gif
Transmethylation Cycle Under Folate or Vitamin B12 Deficiency.

Genetic conditions are also known to cause this problem. For example, certain individuals carry polymorphisms in the MTHFR gene which increases risk for congenital and chronic heart disease and numerous other health problems.

Betaine Provides a Backup

Fortunately, animals (including humans) have a "back-up" strategy for this scenario - an enzyme that uses betaine as an alternative methyl donor (betaine:homocysteine methyltransferase) (shown in red in the following image):

Met_pathway3.gif
Transmethylation Cycle Under Folate or Vitamin B12 Deficiency But with Betaine Present

Thus, when folate or vitamin B12 is deficient, betaine (from spinach, beet or swiss chard) can keep this transmethylation cycle operating and prevent hyperhomocysteinemia and its many adverse health consequences.

So, in summary my P(opeye)hD thesis is that Popeye was a frequent consumer of spinach to compensate for vitamin B12 and folate deficiency, and/or because he had a polymorphism (a popeyemorphism?) in his MTFR gene which made him weak in the absence of betaine?

Please feel free to comment or ask questions below.

Sort:  

Just what I needed to boost my knowledge of metabolism. And linking that to Popeye made the trick!
Amazing work, Prof. @davidrhodes124!

I'm a fan of anything that used pop culture as a hook for STEM communication. Nice work.

I also have to admit, when I saw the post, I was ready to chime in with the decimal point story. Apparently I've been wrong all these years.

Thank you. I got to use a few fun puns too! Sorry I had to iron out the decimal point story.

Although this post is "tongue-in-cheek" (and I was 15 minutes late in posting this on April fool's day), the science presented is sound, see:

Craig, S.A. Betaine in human nutrition. Am. J. Clin. Nutr. 80: 539-549 (2004)

Abstract

Betaine is distributed widely in animals, plants, and microorganisms, and rich dietary sources include seafood, especially marine invertebrates ( approximately 1%); wheat germ or bran ( approximately 1%); and spinach ( approximately 0.7%). The principal physiologic role of betaine is as an osmolyte and methyl donor (transmethylation). As an osmolyte, betaine protects cells, proteins, and enzymes from environmental stress (eg, low water, high salinity, or extreme temperature). As a methyl donor, betaine participates in the methionine cycle-primarily in the human liver and kidneys. Inadequate dietary intake of methyl groups leads to hypomethylation in many important pathways, including 1) disturbed hepatic protein (methionine) metabolism as determined by elevated plasma homocysteine concentrations and decreased S-adenosylmethionine concentrations, and 2) inadequate hepatic fat metabolism, which leads to steatosis (fatty accumulation) and subsequent plasma dyslipidemia. This alteration in liver metabolism may contribute to various diseases, including coronary, cerebral, hepatic, and vascular diseases. Betaine has been shown to protect internal organs, improve vascular risk factors, and enhance performance. Databases of betaine content in food are being developed for correlation with population health studies. The growing body of evidence shows that betaine is an important nutrient for the prevention of chronic disease.

Coin Marketplace

STEEM 0.09
TRX 0.31
JST 0.031
BTC 106867.14
ETH 3841.24
USDT 1.00
SBD 0.59