[과학] 블랙홀 revisited
어제 취중에 반 정도 쓰고 오늘 힘들게 일어나서 고치긴 했는데;; ㅋㅋㅋ
일단 가 봅시다
1000팔로워가 다가오고 있다. (현재 957 ㄷㄷ 01.30 )
신변잡기나 수학, 계산글 가끔 과학글...
그것도 쉽게 쓴다고 썼지만 쉽지도 않은 그런 글들을 쓴
나에게 1000팔로워라니.....
스팀잇 툴을 보니까 이 중에 200명 정도가 나의 글을 읽어 코멘트를 달아주거나 보팅을 하거나 한다고 한다.. ㄷㄷ
애초에 많아야 한 10명 더 많아여 20명 정도 조용히 나의
이런저런 신변잡기 이야기를
하소연(?)을 하기 위해 시작했는데 어쩌다보니 여기까지 왔다.
블랙홀
내가 처음 스팀잇에 과학글을 본격적으로 쓰게 시작한게 블랙홀 이었다.
[스팀잇을 하기 전에는 종종 디씨에 이상한 글(?)들을 쓰면서 놀긴 했었는데;; ㅋㅋㅋㅋ]
[과학] 중력파와 블랙홀-1 [이론소개 중심]
[과학] 중력파와 블랙홀-2 [간략] [블랙홀의 생성과정과 중력파 발생]
[과학, 책] 중력파와 블랙홀-3 [관련 도서/자료(?) 소개]
그 뒤로 팔로워가 늘어 200팔로워 때는 [과학] 블랙홀과 열역학-이런 지금 확인하는데 식 하나가 짤렸군..
중간에 끈이론 이야기와 인플레이션 [흠 수식이 왜 다 깨졌니..] 이야기도 하고..
인류원리 이야기도 했고 양자자살 이야기도 했긴 한데...
[물리 관련해서 크게 생각나는게 이것 밖에 없군..
물리나 기하, 계산 이야기 하면 괜히 산으로 가서![ 저 거인들의 산을 등산하지 않겠는가!]
퀴즈와 중고교 교과서 내용들 중심으로 글을 쓰다보니..
초심을 잃은 것인가...
다시 수식이 난무하는 포스팅을 써야 할까..]
지금까지 써왔던 주제 중에서 그나마 사람들에게 친숙한 것은 블랙홀이 아닌가 싶어 다시 이 주제를 들고 왔다.
사실 ㅋㅋㅋ 이번에 오랜만에 만난 친구들과 밥을 먹는데 친구왈
what is the color of black hole? As its name stands for, is it black?
우리말로 하면, 블랙홀은 무슨색이니? Black-hole 이니까 검정색 구멍이니?
해서 쓰기 시작했다.
일단 나의 답장은 다음과 같다.
you are probably right.
먼말이냐 하면 흠 블랙홀의 정의부터 복습해야되는데... [[과학] 중력파와 블랙홀-1 [이론소개 중심]]
에라 ㅋㅋㅋ
간단히 말해보자.
블랙홀은 중력이 매우 강한 물체. 어느정도로 강하냐면 주변의 빛을 모두 빨아들일 정도. 더 나아가 주변의 모든 것을 빨아들임. 즉 어떤 것도 방출하지 않을거고 그러니 우리 눈에는 검정색으로 보이겠지. Hole 이라고 하는 것은 point 에서 singularity 있는 거니까.. 그래서 Black Hole 알간?
[참고로 모든 빛을 흡수하면 검정색으로 보이고 모든 빛을 반사하면 하얀색으로 보인다. ]
[수학적으로 접근해 보면 BH 이 있으면 완전히 대응되는 성질을 가진 White hole 이 존재한다.]
근데 왜 probably냐.. .
BH이 classical object 즉 상대론만 생각하면 저게 올바른 해석인데
semi-classical 혹은 quantum effect 를 고려하면[즉 양자장론 혹은 양자역학적 해석] (singular point 라는 것은, point 라는 것은 아주 작은 것을 말하지 않는가!) 이게 다른 내용이 되어 버린다.
이 때에는 블랙홀에서도 무엇인가가 방출 된다! [모든 것을 빨아들이기만 하지는 않는다! 즉 방출하는 물체에 따라 블랙홀도 색깔을 가질수 있다!!!]
이와 관련된 내용을 예전에 다룬 적이 있다. [과학] 블랙홀과 열역학
양자 통계를 고려한다면,
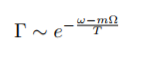
Black hole 의 decay 를 아래와 같이 쓸 수 잇고
BH 에서 w 의 frequency 를 갖고 azimuthal angular momentum number m 을 갖는 입자가 방출된다면
를 의미한다. ] 블랙홀 열역학 제 1법칙으로 인해
즉
블랙홀이 흑체 복사를 일으킨다는 것을 알 수 있다.
[그냥 과정의 정당성(?)을 위해 앞의 과정을 적어을 뿐이다.
하고 싶은 말은 다음과 같다.]
즉 블랙홀에서 먼가 방출이 된다는 것!
이로 인해 Black hole 이 Black 이 아닐수도 있다. 관련 글
이 정도면 친구에게 만족스러운 답이 됬을까? ㅋㅋㅋㅋㅋ
자 그러면 이런 astrophysical 한 관점에서 봤을 때 Hawking evaporation 은 어느정도로 일어날까?
solar mass 로 단위를 다 살려서 적어봤다. 태양 정도의 질량을 가지는 블랙홀의 경우 10^{-7} Kelvin 의 온도를 가진다. ㅋㅋㅋㅋㅋㅋ
참고로 CMB 의 경우 (2.7K, 대략 3K) 를 주는데... CMB 보다 매우 차갑다는 것을 알 수 있다.
근데 대부분의 블랙홀들은 태양보다 훨씬 질량이 크지 않는가.. 즉 분모값이 더 커지기 때문에 결국 이 온도는 더 더 더 작아지게 된다.
반면 엔트로피는 어떤가? [엔트로피는 점점 엄청 커진다]
Decay rate 식을 다시 살펴보자, 이 식을 관찰해 보면, 엔트로피가 작을 수록
점점 더 많은 입자를 방출하게 된다. (쉽게 2^{-1}=1/2 과 2^{-2}=1/4 를 생각해보라 - 가 있을 때 지수의 숫자가 작을수록 전체 값은 크다 )
방출을 많이 하게 되면 점점 블랙홀의 질량과 에너지가 줄어들게 되고 결국엔 블랙홀이 사라지게 되는데
바로 이 과정이 Black hole evaporation 이다
흔히 공상과학 소설을 통해 입자가속기에 micro 블랙홀이 생성되어 모든 것을 흡수 해 세상이 멸망하게 될 지도 모른다
라는 말을 접한 사람들이 있을 것이다.
그런데 위 식을 잘 살펴보면 질량이 작을 수록 엔트로피가 작고 즉 방출량이 많다는 것을 알 수 있다.
즉 입자 가속기를 통해 micro 블랙홀이 생성된다고 해도(질량이 매우 작기 때문에) 엄청난 양의 입자를 방출 할 것이고 이로 인해 micro 블랙홀은 순식간에 사라져 버리게 될 것이다.
즉, 공상과학에서 말하는 사건사고들의 일을 현실에서 전혀 걱정할 필요가 전혀 없다!
그냥 우리는 잘 살면 된다!
여담으로 블랙홀의 엔트로피에는 어떤 의미가 있을까?
거시세계의 물질인 블랙홀, 그 엔트로피는 볼츠만 해석을 통해 number of microstate 해석할 수 있고 ㅋㅋㅋㅋ
여기서 또 한번 중력과 양자역학이 만나게 된다!
더 나아가 entanglement entropy 의 관점에서도 이야기 할 수 있는데...
블랙홀의 엔트로피 역시 다양한 해석이 존재한다.
기회가 되면 양자역학에서 등장하는 entanglement entropy 에 대해서도 한번 다루어 보도록 하자
흠..
근데 다음 블랙홀 글은 언제 쓰게 될까?
한동안 수학책, 퀴즈책만 보다가 ㅋㅋㅋ 빨리 시간을 내서 대중과학서(?) 의 탈을 쓴 전공서를 읽긴 해야 될텐데.. ㅎㅎ 요즘엔 또 재미있는신간들이 많이 나왔다고 하는데 ㅋㅋ














블랙홀은 검정색구멍ㅎㅎㅎ 뱉어내기도 하는군요 ㅎ
Amazing.....
Wow amazing
어....어렵지만
먼가 묘하게 잼있네요ㅋ.ㅋ
학교다닐 땐
수학 과학 좋아했었는데ㅎ
잘 보고 갑니다~^^
좋은 하루 되세요!!
항상 beoped님 퀴즈만보고 답을몰라서 울며 지나쳐가는 1인ㅋㅋㅋㅋ 오늘은 댓글달 수 있어 좋네용 호레이~~ 옛날에 과학동아 라는 잡지 읽으면, 우주천체 부분만 골라읽었던 탓에 이번 포스팅을 수식만빼면 아주 반가운 내용이에요. 결론은 블랙홀 걱정말고 잘살면된다!!ㅋㅋㅋ
Very nice post
어렸을때 취미가 별보기였는데
산골에서 자라서 별이 무지무지 잘보였거든요 군인이셨던 아버지가 군용 망원경을 주셔서 그걸로 매일매일 봤었는데 글읽으면서 생각났습니다
팔로우하고갈게요!!
헤롱헤롱.. @beoped님 @.@ 잘...(실은 머리뜯으며..)재밌게 보았습니다...^^
스팀잇에 Tex가 되면 참 좋을텐데요...
역시 통계역학은 옳습니다. (개인적인 취향입니다.)
외국인 독자(?)들도 많군요 ㅎㅎㅎㅎ