[과학] 중력파와 블랙홀-1 [이론소개 중심]
작년 LIGO( Laser Interferometer Gravitational-Wave Observatory)  에서 첫번째 중력파 관측 이후  올해 5-6월 경 에서 LIGO 에서 세번째 Black Hole merger 를 관측했다고 발표가 나왔다.  이 LIGO 에는 국내 과학자들도 상당히 참여하고 있어 국내 학계 분위기도 상당히 고무되어 있다. 중력파와 블랙홀은 밀접한 관련이 있는데,  질량이 큰 블랙홀의 경우 중력파를 발생해 내기도 한다.

이번 포스트에는 블랙홀에 관한 기초이론과 중력파와 블랙홀에 관한 책 몇권 소개를 다루려고 한다. (어느정도 쓰고 보니 블랙홀에 관련된 책은 다음 포스팅에 해야 될것 같다.)
이 글은 물리학 특히 블랙홀에 관심있는 일반 대중과 자연계 학부생 등을 대상으로 생각하고 작성하고 있다. 즉 일반적인 내용과 전문적 내용이 공존하고 있다. 전문적인 내용은 소괄호 혹은 대괄호를 써서 기술할 예정이라 해당 내용들은 넘어가면서 읽으면 된다.
Image credit: NASA/JPL-Caltech
위 사진은 Nasa 사이트에서 가져온 사진으로, 블랙홀 중심으로 부터 jet 가 발생하여 방출 되고 있다.
먼저 블랙홀이란 무엇이냐, 대충 말하면 중력이 매우 강하여 빛 조차 빨아들이는 물체라고 알려져 있다. 조금 엄밀하게 말하면, 물리적으로 의미가 있는 Einstein equation 의 해 중에서 그 물체(별)의 반경이 event horizon 안 쪽에 있는 경우를 말한다. [사실 이는 앞의 일반적인 내용을 좀 더 구체화 한 것에 불과하다. event horizon 이라는 것이, 빛과 물질이 안으로만 통과 가능한 지역을 말한다.]
더 나아가 수학적으로 정의하고자 하면, Blackhole horizon 은 globally hyperbolic 시공간에서 미래 null infinity 에 대한 spacetime closure 의 boundary 를 말한다. 안타깝게도 이를 제대로 설명하기 위해서는 각각의 용어에 대한 설명과 이해가 필요하다. (시공간의 causal structure 와 penrose diagram 에 대한 이해) 따라서 본 내용에서는 너무 수학적인 내용은 다루지 않으려 한다. [이러한 내용들은 Hawking-Ellis 가 쓴 교과서에 아주 자세히 설명되어 있다. ]
[슈바르츠 실드에 대한 펜로즈 다이어그램, 이미지 참조-https://jila.colorado.edu/~ajsh/insidebh/penrose.html]
시공간에 대한 이해를 하기 위해서는 아인슈타인의 장방정식을 살펴 볼 필요가 있다. 아인슈타인의 장방정식은 natural unit 에서 다음과 같은 구조를 가진다.

우변은 matter 를 나타내는 것이고(G 는 중력 상수를 나타낸다) 좌변은 시공간에 대한 정보(곡률 등) 을 나타낸다.  흔히 말하는 "질량이 있으면 시공간이 휘게 된다" 란 말은 위 식을 풀어 설명한 말이다.  우변 좌변의 수학적 물리적 의미에 대해서는 나중에 기회가 되면 다루기로 하자. (우변은 리치 텐서와 리치 스칼라, metric 으로 구성되어 있는데 이는 리치 텐서와 리치 스칼라는 metric 의 두번 미분 으로 구성되어 있는 물리량이다. 즉 우변은 metric 에 대한 2계 미분 항들로 이루어 졌다는 것을 알 수 있다) 지금 우리의 관심사는  방정식의 해에 있다. 여기서 방정식의 해라는 것은 metric   의 형태를 찾는 것을 말한다.
 의 형태를 찾는 것을 말한다.
(여담으로 수학적인 관점에서 보면 위 편미분 방정식의 해가 well-posed 되었느냐에 대해서 고민을 해 보아야 한다. 종종 물리학자는 먼저 답이 존재한다고 가정하고 이론을 전개해 나가는데, 수학자의 경우 문제가 잘 정의되었는지 (쉽게 말하면 문제에 대한 답이 존재하는지) 부터 고민하고 이론을 성립해 나간다. Vacuum 상태(우변이 0인)에서의 well-posedness 는 1969년 쇼케부라와 게로치에 의해서 증명되었는데 이는 일반상대론이 1915년 발표되었다는 것에 비추어 보았을 때 상당히 이 well-posed 문제가 어려웠다는 것을 보여준다. 백만달러 문제 중 하나인 Navier-stokes equation-역시 PDE 의 well-posed 문제만 보아도.. vacuum 이 아닌 일반적인 경우에 대해서는 아직도 연구가 진행중이다.)
유감스럽게도 아인슈타인의 장 방정식은 non-linear 한 PDE 로 exact solution 을 구하기가 매우 어렵다. 특별히 구하기 쉬운 경우가 vacuum (우변이 0인) 상황인데, 이 자체도 임의의 시공간에서 정확한 해를 구하기가 어려워, 특정한 기하적인 상황을 가정하여 해를 구한다.
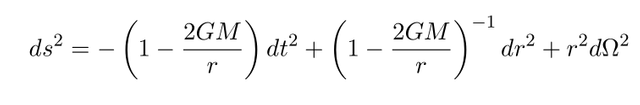
아인슈타인의 방정식의 해 중에 블랙홀과 관련된 가장 유명한 해 3개는, Schwarzschild, Kerr, Reissner–Nordström 이 있다.
Schwarzschild 는 static, spherical symmetry의 해를 말하며 4차원 (-,+,+,+) convention 의 해는 다음과 같다. 
여기서 M 은 블랙홀, 즉 물체의 질량을 나타낸다. vacuum 상태였기에 (아무것도 없는 공간, 소스가 없는 공간)에 곡률이 있다는 것이 물체에 질량을 부여한다는 것을 읽어낼 수 있다. 우리가 일반적으로 생각하는 블랙홀은 이 모델을 바탕으로 하고 있다. (Birkoff theorem 에 따르면 이러한 Schwarzschild solution 이 위 조건을 만족하는 유일한 해라는 것을 증명 할 수 있다, 많은 학부 수준의 상대론 수업은 대강 해당 내용까지 배우고 Birkoff 는 아니더라도 슈바르츠 실드 이야기는 언급하고 마무리를 맺는다.)
(여담으로 Karl Schwarzschild 는 독일인으로 세계 1차 대전 당시 러시아 전선 포병부대의 중위로 복무중이었는데, 이 때 자신의 연구 결과를 아인슈타인에게 편지로 전달했다. 1916년 )
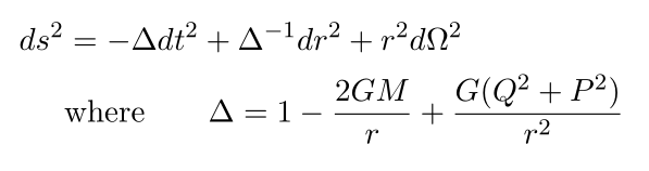
Reissner–Nordström 블랙홀의 경우,spherical symmetry 에 전하를 고려한 경우로써(따라서 전자기 장, 소스를 고려하여야 한다. 즉 더이상 vacuum 이 아닌 경우를 말한다.) Maxwell theory 에서의 energy-momentum tensor 식을 이용하여 spherical ansatz 에 대입하여 구할 수 있는데 형태는 다음과 같다.
여기서 Q 와 P 는 electric, magnetic 전하를 의미한다. (여담으로 이 RN 블랙홀은 HEP 분야에 있어 매우 중요하다. BPS states, D-Brane, Ads/CFT 등과 상당히 연관이 있는 솔루션으로 자세한 이야기는 나중에 기회가 되면 포스팅을 하도록 하겠다. 너무나 할 이야기가 많다) 특정 조건에서 이 솔루션은 schwarzschild 형태를 지닌다.
이 방정식은 Reissner (1916), Nordstom (1918) 년에 발견했다.
Kerr 솔루션의 경우 (rotating 경우 - axially symmetric vacuum solution)
kerr 솔루션의 경우 특별히 ergosphere 이나 dragging effect(Frame-dragging) 라는 것을 볼 수 있다.  dragging effect 에 대한 diagram 하나를 소개한다. ( https://universe-review.ca/R15-17-relativity04.htm 에서 따왔음)

(kerr 블랙홀은 식 유도 자체도 상당히 복잡하고 어렵다. kerr 의 해는 1963년에 알려졌는데, 이는 앞의 두 해의 비하면 상당히 늦은 시기에 알려진 것이다. 즉 그만큼 이 문제가 어려운 문제였다는 것을 의미한다. 커 솔루션에 대한 유도는 커의 오리지널 논문에 조차 자세히 서술되지 않는다. 찬드라세카의 블랙홀 교과서에 보면 유도과정이 기술 되어 있기는 하나 상당히 복잡하다. 다만 특별한 limit 에서의 유도과정은 잘 알려진 편이다.)
특별히 이 세가지 블랙홀이 유명한 것은 아마 각각이 질량, 전하, 스핀에 의해 결정되어서가 아닌가 싶다. 일반적으로 블랙홀은 이 세가지 물리량에 의해 분류가 된다.
지금까지 블랙홀에 관련된 기본적인 배경지식에 대해서 알아보았다. 다음 포스트에서는 현실, 관측에서 블랙홀이 어떻게 존재하는지에 대해서 간략히 서술해 보고 관련 대중 과학서 를 소개해 볼까 한다.
Image Credit: X-ray: NASA/CXC/Wisconsin/D.Pooley & CfA/A.Zezas; Optical: NASA/ESA/CfA/A.Zezas; UV: NASA/JPL-Caltech/CfA/J.Huchra et al.; IR: NASA/JPL-Caltech/CfA
2, 3 부 포스팅
   [과학] 중력파와 블랙홀-2 [간략] [블랙홀의 생성과정과 중력파 발생]  
   [과학] [과학, 책] 중력파와 블랙홀-3 [관련 도서/자료(?) 소개]]   




앗 조만간 저도 중력파를 다뤄볼까 했는데 선수를 빼았겼네요 ㅎㅎ 재밌게 읽었습니다. 좋은 내용 감사합니다~
✈ 사이언스 분야가 이렇게 활성화되는군요. 정말 멋집니다.
일단 수학공식 나오면 머리아픕니다 ㅎㅎ 멋진분야 소개 감사합니다.
블랙홀의 중심에서 나오는 jet의 정체는 무엇인가요? 중력파인가요?
그렇다면, LIGO가 저 jet를 관측하려는 건가요?
LIGO 에서 관측하는 것은 저 jet 가 아닙니다. 저 jet 는 플라즈마라고 보시면 됩니다.
LIGO 에서 관측한 것은 2번 포스트에 썻던 merger 과정에서 나오는 중력파로 알고 있습니다.
블랙홀에서 플라즈마가 어떻게 나오나요? 특히 event horizon 내부에 있는건 못나올거 같은데요.
Merger과정의 중력파를 관측하는건 특별한 이유가 있나요?
보다보면 이해되는 부분도 있을 거라고 스스로 위로해 봅니다.ㅠㅠ
갑자기 현기증이.......
대단하십니다!!
어렵습니다.. 이해가 힘듭니다.. 근데 대단 하십니다..
아 너무 어렵나요, 그렇다면 3번 글 대중과학서 관련도서나 2번글을에 있는 동영상 자료, 영상들이나 그림 위주로 보시면 핵심은 파악하실 수 있을거에요
헉 대박입니다..
다른 세상 이야기 같네요...ㅋㅋㅋ