Should We Walk or Run in the Rain to Get Less Wet? An Empirical & A Mathematical Approach
It’s raining and you have no umbrella. Will running or walking get you less wet? It happened to me just this morning and it got me the idea to investigate it further.
What is rain and how is it measured?
As planet-science mentions there are always small drops of water in the air, even when the temperature is high.
When the air is warm it rises and as the air gets higher, it gets colder and then the water becomes liquid.
Liquid water droplets together are forming clouds, which when they get heavy, fall to the ground as rain. 💦
Measurement of rainfall as per bom.gov.au
The standard instrument for the measurement of rainfall is the 203mm (8 inch) rain gauge. This is essentially a circular funnel with a diameter of 203mm which collects the rain into a graduated and calibrated cylinder.
🌧️ How to measure rain #doityourself with detailed instructions from wikihow.com
Run or Walk?
Let’s assume it is raining and you just must get out of your car to go home. Should you run or should you walk?
Apparently this will depend on the direction of the falling rain (be it straight down or diagonal) and also it will depend on whether the rain comes towards or behind you as you walk to a certain direction.1
According to a paper by Alex J. DeCaria2 we can approach this problem in two ways.
Conceptual Explanation (assuming that the rain is falling steadily and straight down - no wind applied)
Let’s suppose that you are with a friend under a shelter and you are holding an empty, big red bowl. Both of you wish to run a distance of let’s say 50 meters to reach your home door but one of you (A) is using roller skates while the other (B) is walking.
Assuming that he will not fall down running with the roller skates in the rain, the first person (A) reaches its destination in 5 seconds and the second person (B) in 60 seconds. Which bowl will contain more water?
The response is clear. The second bowl will contain more water, because more water will be gathered in 60 seconds than in 5 (Since the rain conditions are the same)
This is a purely empirical conclusion and conceptually we all agree with that.
Mathematical Explanation
If you are still not sure whether you should run or walk to avoid getting wet, we will present a mathematical approach where a sponge (a rectangular one) is supposedly moving under the rain from a given point to another given point (Distance = d)

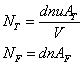
- u=Speed of raining raindrops
- n = Number of raindrops per unit volume of air (constant)
- At = Area on top of the sponge
- Af = Area on front of the sponge
- V = Speed of the sponge to the right
- d = Distance
Rate of raindrops absorbed into top side of sponge (Number of raindrops per second)
The rate of raindrops on the top depends on the number of raindrops, the speed of raindrops and the area but it is independent from the sponge’s speed V
With the same way we can calculate the raindrops rate on the front surface but the main difference is that the absorption on the front of the sponge depends on its speed. As the speed will be faster, the rate of raindrops will increase.
So, does this mean that the fast we run the more raindrops so we should walk slower to stay drier?
No. Because the slower our speed, the longer time we will be exposed to the drops in front of us (or the sponge in this case)
In order for us to understand if speed does or does not make a difference we have to put the time into the equation.
Assuming the distance to our home is d, and time is t, we will get home at a time
(3)
The total number drops (N) absorbed during time = t will be calculated:
(4)
Here we can safely conclude that the speed does not increase the number of drops absorbed in the front of the sponge, while the number of drops absorbed on top of the sponge actually increases when the speed is slower
(5) 
Therefore the higher the speed, the less raindrops will be absorbed from the sponge. (on the top surface area)
So, Run Friend, Run!!! (Or get an umbrella)
In the paper by Mr Alex J. DeCaria you can also read the analysis of the case when the rain drops diagonally where it is concluded that
You will stay driest if you move toward shelter at a speed equal to that of the wind.
Alternative Proofs
Mythbusters testing the myth (twice!)
You can see that MythBusters tested this question (or Myth as they called it) twice at a controlled environment.
As a matter of fact the first time they got the result of getting wetter when walking faster, but they went back and retested to find out that their first results where falsely positive. Thus they concluded that it is better to run than walk in the rain assuming you want to stay ‘as dry as possible’
You can check the MythBusters Video here
MinutePhysics approach in a 2 minute illustrated video
Or if you were too bored to read our above mathematical explanation, check out the below video where it is simply explained that in order to sty as dry as possible getting from a point to another, you should try to minimize the amount of water falling onto you (dahhh). Even simpler put, this meansgetting out of the rain as soon as possible!
Check out minutephysics who is investigating the affects of rain when you run
And of course always remember to have an umbrella or a raincoat in your car / bag during a rainy day. 🌧️☔
An answer all the way back from 1976
The Harvard Mathematician David Bell published a paper where indeed, the faster your run the less you will get wet. Read it at the Mathematical Gazette
As a matter of fact you can also check the paper to see that there is even an optimum speed with which you will get least wet! (This is the speed of the wind)
But what we should really question ourselves is … Even if we run at the best ever speed, how much less wet we will get? Bell’s simple algebra calculations show that we will get a 10% less wet
So is it worth running our heads off? You decide!
Did you know … ? #1
There is a fictional character called Billi Whizz who first appeared in 1964 in the British comic “The Beano” who is known as “The World’s Fastest Boy”. Presumably he could run so fast he could never get wet!
Did you know … ? #2
The famous quote “Some People Feel the Rain. Others Just Get Wet” that is attributed to either Bob Dylan or Bob Marley was actually first mentioned in a 1972 show by a popular country singer in the US Roger Miller.
Did you know … ? #3
- A) Raindrops are not tear-shaped, as most people think.
- B) Very small raindrops are almost spherical in shape.
- C) Larger raindrops become flattened at the bottom, like that of a hamburger bun, due to air resistance.
- D) Large raindrops have a large amount of air resistance, which makes them begin to become unstable.
- E) Very large raindrops split into smaller raindrops due to air resistance.

Sources and further reading >>
http://snowball.millersville.edu/~adecaria/DERIVATIONS/Rain.pdf
http://sites.psu.edu/siowfa14/2014/12/05/walking-vs-running-in-the-rain/
https://www.youtube.com/watch?time_continue=2&v=3MqYE2UuN24
http://www.sciencefocus.com/qa/do-you-get-wetter-if-you-run-or-walk-rain
http://news.bbc.co.uk/2/hi/uk_news/magazine/4562132.stm
Image credits
https://pxhere.com/en/photo/849982
https://pixabay.com/en/pay-numbers-infinity-digits-fill-937884/
https://en.wikipedia.org/wiki
CC0 Public Domain
Free Gif by: http://bestanimations.com
All other equations and drawings created by me





This is a test comment, notify @kryzsec on discord if there are any errors please.
Being A SteemStem Member
Great read! I liked your drawings and the way you used basic physics.
Rainfall is a rather variable phenomenon in terms of space and time, making it pretty difficult to analyze precisely. Most commonly measured characteristics of specific rainfall events are:
All measurable quantities taken into consideration while studying a rainfall event are directly related to time, so I totally agree with your conclusion.
I really enjoyed your post, didn't mean to spam you! :p
Have a nice day!
Thank you so much for visiting and for your valuable input, which under no circumstances is spam!
I wanted this post to be as simple as possible and to showcase that the conclusion in all cases - researches - tests conducted is the same, that we should either carry an umbrella or run as fast as we can!
Thanks again : )
Awesome explanation :D Guess I'll run fast next time ^^
Interesting breakdown, I actually read about this somewhere else recently but it wasn’t as thorough.
I’ve also had the good fortune of forgetting my umbrella many times in the rain. Allowing me to personally and physically confirm the mathematics!
I never really gave the actual shape of a rain drop much thought but after seeing the diagram it makes sense. Good to know, now I’ll never draw it tear shaped again!
Does Mr Alex J. DeCaria mean that you should be traveling in the same direction as the rain?
Here when you say, “roller coasters,” you mean roller skates or blades, right (πατίνια)?
Roller coaster is 🎢
Δεν ξέρω πως λέγεται στα Ελληνικά :)
Thank you for commenting and Yes, of course I mean πατίνια! (Θα το αλλάξω άμεσα!)
Regarding the direction of the wind, it does not change anything, as the only thing that changes is the surface which will be the front or the back.
Thanks again!