[수학, 계산] variation principle

in #kr-math8 years ago

이왕 계산 포스팅으로 variation 으로 equation of motion 관련 글을 올렸으니까 [수학, 계산] 리만기하 4 -metric 변분법 // 응용-Low-energy effective action - part 2 한번 일반적인 variation 에 관한 글을 남겨 보는 것도 괜찮을 것 같아서 한번 작성해 본다.

소위 물리학에서 말하는 Least action principle 과 관련된 계산이다.
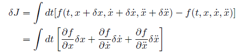
다만 그냥 물리학에서 말하는 action 과 거기에 대응되는 라그랑지안은 t, x, dot{x} 까지만 관련있는 반면 여기서 내가 하고 싶은 계산은 한번 시간 미분한 속도 텀보다 더 나아가 두번 미분인 가속도, 그 외의 n 번 미분한 항이 들어가면 운동방정식이 어떻게 바뀌고 boundary term 이 어떻게 구해지는가에 대한 계산을 해보려고 한다.

일단 왜 물리학에서는 t, x, dot{x} 만 고려하는가에 대한 부연 설명이 조금 필요할 것 같아 몇마디 살을 붙여본다. 이는 물리학에서 말하는 운동에너지가 1/2mv^2, 즉 velocity 와 제곱에 비례하기 때문이다. 만약에 운동에너지가 가속도의 제곱에 비례하거나 더 이상한 시간 미분항에 비례한다면 물리학에서의 많은 정리나 성질들은 더 이상 성립하지 않는다.

전반적으로 계산 과정은 integration by parts, 즉 부분적분법이 필요한 테크닉의 전부이다.

일반적인 action (up to first derivative)

먼저 action 을 정의해 보자

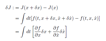
자 variation 이란 것은 다음과 같이 정의된다. [functional 의 derivation 이라고 보면 되는데 자세한 수학적 정의는 생략하도록 한다. 수학적 엄밀성을 따지는 과목으로 이 변분법은 함수해석학 수업의 끝부분에 등장하거나, 아니면 따로 변분법이라는 한 과목으로 수학과 학부 및 대학원 과목에 등장하곤 한다. 하지만 물리학과에서는 그냥 학부 역학이나 일반물리에서도 다룬다. ]

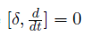
이 variation 은 d/dt 와 commute 한다. 이를 수식으로 표현하면

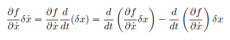
이 것으로 인해 앞의 두번째 항을 다음과 같이 쓸 수 가 있다.

이를 원래 식에 대입하면

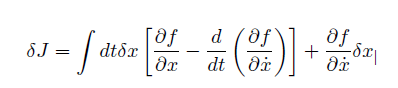
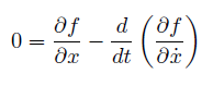
를 얻고 Least action principle 이라는 것은 저 J 를 extermize 하는 것이기에 \delta J=0 으로 부터

와 surface term 가 사라진다는 것을 얻는다. 여기에는 무한대의 boundary 에서 주는 영향이 없다고 보기 때문에 surface term 을 날려버리는 것이다.

특정 boundary condition 을 고려하게 되면 상황이 많이 달라진다.

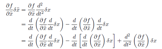
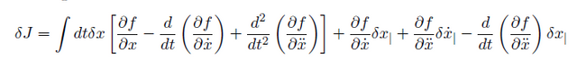
두번 미분항을 포함할때

이런 경우에 action 은 다음과 같이 쓰인다.

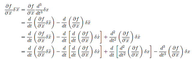
여기서 variation 은

여기서 integration by parts 를 이용해서 두번째 식과 새번째 식을 변형해 주면 된다.

두번째 식은 위에서 구했으니 세번째 식만 변형해 보자

이 결과들을 합치면

equation of motion 자체는 간단한데 boundary term 은 상당히 복잡하지 않은가

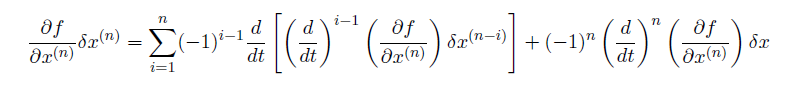
n번 미분항

자 n 번 미분항이 포함됬을 때 equation of motion 과 boundary term 은 어떻게 쓰이게 될까?

이는 다음의 공식을 생각하면 쉽게 유추할 수 있다.

이 공식 역시 integration by parts의 부산물이다.

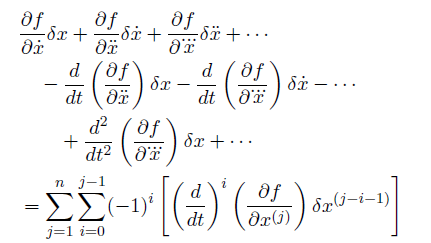
한번 n=3 일때 항을 전개해 보자

이런 식으로 전개가 가능하다.

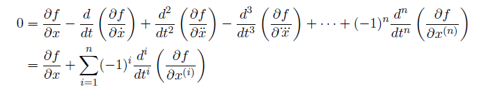
n 차를 가질 때 equation of motion 은 위와 같은 관계식 들을 통해 다음과 같은 방법으로 얻을 수 있다.

boundary term 역시 비슷한 방식으로 구할 수 있다.


일반적인 시스템은 1번 미분을 가지는 시스템이기 때문에 사실 이런식으로 일반화를 할 필요는 없는데 동역학이나 복잡계 연구의 특정 모델에는 2계 미분이나 3계 미분을 가지는 모델들이 있어서 일반화된 항을 한번 구해 정리해 보았다.

Sort:  

Cheer Up! 음~? 흥미로운 포스팅이군요.

  • from Clean STEEM activity supporter

음. 대단한 문제군요..

ㅎㅎ라그랑지언으로 봐서 익숙하네요.
저런 걸 보면 항상 수학이 중요하다고 생각하게 되네요. 입대하면 수학 공부나 해야겠습니다ㅋㅋㅋ

Coin Marketplace

STEEM 0.13
TRX 0.34
JST 0.033
BTC 120129.57
ETH 4496.61
SBD 0.77