Prove the formula we all know and love! (Tutorial)
Hey All!
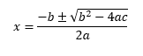
Yes that's right! The quadratic formula! So, why can we use this magical formula to solve any quadratic equation?
How are these the same you ask!??!?! Let me show you:
Take the standard form and move c to the other side (minus c on both sides)
Then divide everything by a, so we can complete the square.
To complete the square you take half the middle term, square that number, and add it to both sides of the equation. Now, the left hand side of the equation is factorable. Two things that multiply to the last that add up to the middle are b/2a, so this is what it factors into:
Then take the square root of both sides. We need the plus or minus because when we square a + or -, we get a +.
Then we need a common denominator on the inside of the square root to make one fraction by multiplying the top and bottom of the second by 4a.
Almost done! Minus the b/2a to the other side. Take the square root of the bottom to get it out and combine fractions. You have the quadratic equation.
By the way I typed this up in Microsoft Word, which has an awesome equation maker. Probably took 5-6 minutes. Maybe a tutorial on that soon! Thanks for viewing!

Nice to see the quadratic formula explained so cleanly. good work!
Thank you chasmic-cosm! Glad to be here with my intelligent friends of Steemit!
Well yes no fine, I believe you!
I double-checked the maths. Lol
👍🏼👍🏼👍🏼👍🏼