Surface Water and Infiltration Process

Infiltration, source: wikimedia commons
The depth of water in the surface of the ground from rainfall or irrigation process enters into the soil gradually. This process by which water enters into the soil is called infiltration process. It is the entry of water into the soil as a source of soil-moisture. Infiltration process is important because of the following reasons :
- It supplies water to the crop root zone.
- It is a source of soil moisture.
- It helps to sustain the growth of plants.
- It supplies water to Wells, springs and streams.
- It helps to recharge aquifers.
- It replenishes the soil-water level.
Potential infiltration capacity initially exceeds the rate of water, surface sealing takes place and the rate of water intakes gradually decreases and latter approach a constant value which is referred to as the basic infiltration rate of the soil. The rate at which infiltration process occurs is influenced by the following factors :
- The physical properties of the soil.
- The conditions of the surface crust.
- The type and extent of the vegetative cover.
- The temperature of water.
- The rainfall intensity /rate of water application.
- The water quality.
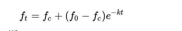
Infiltration process which can be determine through the hydrographic analysis and the use of infiltromoter cylinders can be evaluated using Horton (1940) model equation thus:
Where
Ft = Infiltration capacity of the soil at time t in mm/hr.
fc = Infiltration rate at equilibrium in mm/hr.
fo = The initial infiltration capacity in mm/hr.
k = The rate of decrease in infiltration capacity.
t= The time of the infiltration process in hours.
The value of k is the rate of decrease in infiltration process and the value is negative because of the following factors :
- Surface scaling of the soil due to water application.
- The rate of infiltration decreases with time.
- Water absorption increases initially and decreases with time.
- The soil hydraulic volume is initially high and the trend decreases with time.
Intake Rates
The intake rate is the entry of water into the soil under field conditions. It is the rate at which rain or irrigation water enters the soil in a given period of time. The intake rate of the soil depends on the surface soil and the sub surface horizons. The knowledge of the the intake rates enables the farmer or soil scientist to classify his soils based on their ability to accept and store for crop uses. The soil intake rate, storage potentials and soils sorpitivity are all important in water -application processes. The soils sorpitivity is a natural phenomenon by which the soil takes up and hold water by either absorption or adsorption process. Soil holds water by both absorption and adsorption processes. Water released to the crops by absorption process is higher than the one released by adsorption process.
Effective Rainfall
All the rain water that reaches the surface of the earth may not infiltrate into the soil and not all the water harvested will be used for present and future purposes. An effective rainfall is that portion of the total rainfall or irrigation water which satisfies crop water needs and also provide water for surface runoffs which can be harnessed and used for crop production at a latter date. For a farmer, effective rainfall is that useful or utilizable rainfall that maybe stored and latter supplied to the crops hence the unwanted portion of the rainfall should be removed speedily. An effective rainfall is also that quantity of rainfall that is useful in raising the crops planted on a piece of land under a management condition.
Ineffective Rainfall
This is that portion of rainfall or irrigation that is not utilized by the growing crops. It is that portion of the runoff that runs out of the field through runoff and deep percolations and beyond the root zone of the crops.
It also include that portion of rainfall that finds its way to the stream channels and latter into the river and streams. Ineffective rainfall or water is not stored at the root crop zone but percolates downwards. It is that portion of the rainfall that stays on top of an impermeable substrata hence it cannot enter the crop root zone for effective utilization of the crops.Annual and Seasonal Effective Rainfall
Annual effective rainfall is that portion of the total annual rainfall that is used directly or indirectly for crop production at the farm where it falls and there is no need for pumping water.
Seasonal effective rainfall is that part of the total seasonal rainfall that is used directly or indirectly for crop productions. Note that the cropping season comprises the period from land clearing to the time of crop harvesting.
Factors Affecting The Effective Rainfall in Any Environment
Below are list of factors that affects the effective rainfall in any environment:
- Rainfall characteristics .
- Land slope.
- Characteristics of the soil.
- Initial moisture level of the soil.
- Ground water characteristics.
- Crop Characteristics.
- Ground water contributions.
- Carry over soil moisture.
- Deep percolation and
- Management practices.
Rainfall characteristics : soils have limited infiltration rates and moisture holding capacities. Therefore, rainfall of higher intensities reduce the effective fractions but increases the runoff. A well distributed rainfall with frequent light showers are more conducive and enter into the soil for the crops growth than with heavy down pours. In southern Nigeria for instance, the intensity -frequency as well as the depth of rainfall are high in May, June, July, September and October. Therefore, the effective fraction of the water depth is very low. In March, April, November and December, the rainfall depth is usually effective due to low intensity rainfall and the rainfall depth that usually infiltrate into the soil.
Land slope: The nature of the land surface influences the time required by the water to infiltrate the soil - a process called infiltration opportunity time. Water stays longer on a flat and leveled land than on a sleepy and sloppy land.
Characteristics of the soil: The properties of soil influences the infiltration and moisture retention of the soil. Higher soil hydraulic conductivity enhances the infiltration of water into the soil and reduces runoffs.
Initial moisture level of the soil: This is called the antecedent moisture condition of a soil and the higher the moisture level in the soil, the lower the infiltration rate and the higher the surface runoffs which reduce the effective rainfall.
Ground water characteristics : The depth of effective rainfall is higher when the water table is deep (lower water table) than when it is shallow (high water table). If the water tables moves upwards, the effective rainfall is reduced when the space provided for water intake is small.
Crop characteristics : The effective rainfall is directly proportional to the rate of water uptake by the plant. Crops with higher water consumption rates creates a greater deficit of moisture in the soil thereby providing more spaces for water.
Ground water contributions : This is the depth of water below the crop root zone. The capillary and the conductivity properties of the soil as well as the soil moisture content at the root zone influence the depth of water that can infiltrate into the soil.
Carryover soil moisture : This is the depth of water stored at the root crop zone before the planting of the crops or before the commencement of the cropping season. Carryover moisture is used to meet the water demands of crops as well as leads excessive salts out of the soil.
Deep percolation : The higher the deep percolation, the greater the depth of water required to replenish the soil root zone hence the higher the effective rainfall since more water will now move into the soil.
Management practices : Some of the management practices embarked upon by the farmer like bunding, terracing contour tillage, rushing, and mulching reduce runoffs and increase the value of effective rainfall through proper water infiltration process..
Summary
In summary, infiltration process can continue only if there is an available space for additional water at the soil surface. The available volume for additional water in the soil depends on the porosity of the soil and the rate at which previously infiltrated water can move away from the surface through the soil. Note that, Infiltration is caused by two forces: gravity and
capillary action . While smaller pores offer greater resistance to gravity, very small pores pull water through capillary action in addition to and even against the force of gravity.
Reference
[2] Surface Water
.jpeg)
.jpeg)
.jpeg)

I think earthworms would play a big role in increasing the infiltration rate. They make the soil porus.
a very useful post. Introduce the filtration method. Water demand is now increasing as the world population grows. let's create a healthy life and use technology to improve lives
Thanks for your feedback
Thank to brother..hopefully keep writing and healthy always
Yes of course.
very useful, thank you for this good work
Thanks for your feedback
This post has received a 2.98 % upvote from @speedvoter thanks to: @masterwriter.
This post has received a 1.63 % upvote from @booster thanks to: @masterwriter.
You got a 2.73% upvote from @upmewhale courtesy of @masterwriter!
Earn 100% earning payout by delegating SP to @upmewhale. Visit http://www.upmewhale.com for details!