Fourier Series and Transforms (APPLICATIONS) part 1
Hello friends of Steemit!
In this first installment, the most used mathematical tools in the field of telecommunications were presented, as well as in the area of astronomy, optics, acoustics and a great variety of engineering applications.
Fourier Series and Transforms
The series of Fourier owes its name to its creator the Mathematician Jean Baptiste Fourier (1768-1830), which allowed to resolve the propagation of heat in solids, publishing in 1807 his "Mémoire sur la propagation de la chaleur dans les corps solides" and later in 1822 his book "Théorie analytique de la chaleur".

Source
While Fourier's purpose was to solve the Heat Equation, its scope extends to a large number of physical problems in which we also find linear differential equations with the same characteristics of the heat equation.
In this first article I will refer to the Fourier Series of periodic functions in continuous time and their applications in the area of telecommunications.
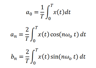
If "x (t)" is a periodic signal that satisfies the condition x (t) = x (t + T), where "T" is a positive number known as the period, we can express "x (t)" as an infinite sum of sinusoids of the form:

Where a0, an and bn are known as the Fourier coefficients. The Fourier coefficients are given by the expressions:

The value of "n" is the harmonic number and "ωo" the fundamental angular frequency given by ωo = 2π / T.
The Fourier coefficients in communication systems are of great importance, since they allow to see the behavior of the signal at different frequencies.
The term a0 is the amplitude of the signal at frequency f = 0 (DC component) an and bn represent the amplitudes of the signal for f ≠ 0 (AC components). The Fourier series can be expressed in its complex form in the form:

Where is the complex Fourier coefficient.
The image shows some approximations of the Fourier series for a square wave.

Source
To analyze the behavior in frequencies, the discrete amplitude and phase spectra are constructed from the Fourier series.

Source
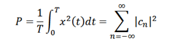
The information provided by the spectra allows obtaining parameters such as the spectral density of the signal, which leads to the power of said signal.
Parseval's theorem

The Fourier series play a fundamental role in the analysis of systems, in the model that is observed in the image, the signal "x (t)" represents the entrance of said system.

Source
The systems act as filters and therefore eliminate those spectral components outside their operating range.
If x(t) is a periodic signal, we can represent that signal as a Fourier series in which we observe its spectral behavior, which will be processed by the transfer function "H" characteristic of the system.
If the frequency range of the signal x(t) is outside the operating range of the system it will be eliminated causing an output y(t)=0 unwanted.
Hence the importance of the spectral analysis provided by the Fourier series in signal processing.
References:
Introduction to communication systems / Ferrel G. Stremler.-2ed.
Digital Signal Processing Using MATLAB. Vinay K. Ingle, John G. Proakis. Third Edition.
Differential Equations with Boundary-Value Problems, 6th Edition / Edition 6.