Geophysics - Exploration Methods (Anisotropic Media)
This release includes and analyzes the impact of anisotropy on velocity and elastic impedance maps of the subsoil discussed in the first part (Geophysics - Exploration method (Elastic Impedance)) where the models used represent isotropic means.
A medium is called anisotropic with respect to a parameter if its value changes with the direction of measurement (Figure 1).


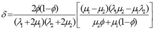
The delta parameter dominates the anisotropic response in the horizontal

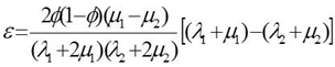
The epsilon parameter dominates the anisotropic response in La vertical
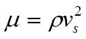
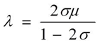
Elastic modules in function of Velocities Vp and Vs




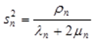
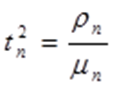
ρ1 and ρ2 are the respective densities of the two strata, Φ is the fraction of material 1 present in the set of constituent strata, the average velocities between the strata and the terms
represent the square of the slowness of the P wave and the square of the slowness of the S wave in each stratum respectively and are defined as:


Speed depending on the Anisotropy
Thomsem (1986)

Elastic Impedance in function of Anisotropia
Lorenzo Rivero (2015)






References
Connolly P., (1999) Elastic impedance, The Leading Edge, Vol 18, No. 4438-452.
John Brittan, Mike Warner, Gerhard Pratt. Anisotropic parameters of layered media in terms of composite elastic properties. Geophysics Vol 60. Julio 1995.
Leon Thomsen. Weak elastic anisotropy. Geophysics vol 51.Octubre 1986.
Lorenzo Rivero. Uso de velocidades sísmicas en la programación de registros sonicos de pozos. Julio 1997.
Lorenzo Rivero. (2015) Generalización De La Impedancia Elástica En Un Medio Transversalmente Isotrópico. Trabajo de ascenso. Facultad Experimental De Ciencias Universidad del Zulia, Maracaibo, Venezuela.
I hope that this publication has given you knowledge about the subject. If you have any questions, please leave your comment and then I will gladly try to clarify them.
Thanks for reading my publication.
Excellent post my friend @lorenzor. Regards!