Diffusion in Porous Media – A world of applications – Part 1
Hello, dear friends of Steemit.
I have a degree in Physics, and currently I work as a professor in the Faculty of Sciences of the University of Zulia in Venezuela. Right there I am dedicated to the investigation of transport phenomena such as the diffusion of matter and the thermal conduction in porous media. I currently advise three research projects or thesis in the area: two on the calculation of diffusivity or diffusion constant in porous media and another on simulation of diffusion in porous media in two dimensions.
The diffusion as a transport mechanism of matter has an extensive presence in nature and a wide range of applications. Between the biological and medical applications we have the release in the stomach of a drug, the penetration of a drug into patches through the skin. In materials science, we have semiconductor doping by electron diffusion, to increase its electrical conductivity. In porous media we have examples such as the transport of solid pollutants in aquifers, and the absorption of drugs through the skin.

Before mentioning details about my research, first I want to talk to you about the fundamentals of these: the porous media and the diffusion process. Subsequently, I will be presenting aspects and results of my research in the area.
In this first post, I will talk about the porous media, their types and their characteristic properties.
WHAT IS A POROUS MEDIA?
They are heterogeneous materials (formed by elements of different nature) and multiphase, where one of the phases that make up the material is solid. The solid phase of the medium is called solid or porous matrix. The non-solid part refers to empty space or pores, which may contain fluids (gases or liquids).
The presence of porous media is widespread, found both naturally and artificially, in the company of one or more fluids: agricultural soils, underground aquifers, oilfields, concrete and particle compounds are examples of this.

In Figure 2 I show one of the two-dimensional porous media models used in my research. Although real porous media are three-dimensional, the use of flat models represents a first approximation for the study of transport phenomena in porous media that have allowed obtaining results very close to the experimental results that have been reported.
TYPES OF POROUS MEDIA
According to its constitution, porous media are classified as:
Consolidated porous media: Are those in which the solid phase is a continuous structure and the hollow spaces are pores that they furrow it. For example, sponges, skin and rocks with fissures.

Unconsolidated porous media: Are those in which the solid phase is constituted by isolated particles that rest on one another, such as sands or cell membranes.

Figure 3 shows a model of an unconsolidated porous medium formed by a packed of spheres of different sizes.
STRUCTURAL PROPERTIES OF POROUS MEDIA
They are the properties that are completely determined by the porous structure of the medium and do not depend on any other property. The macroscopic structural parameters represent average values of a representative sample of the porous medium, of equal or greater size to the representative elementary volume (VER), defined as the smaller volume of a porous medium for which the fluctuations in the measurements of a structural parameter become very small or disappear.
The most used structural parameters are:
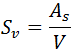
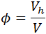
1.- The porosity, is the fraction of a volume of a porous medium occupied by pores or hollow spaces, that is, the ratio or quotient between the hollow volume and the total volume of a sample of the medium. Depending on the type of porous medium, the porosity can vary from zero to about one. Mathematically, it is expressed as follows:

Where:
is the volume of a sample of a porous medium.
2.- The specific surface, is the ratio or quotient between the interstitial area (internal area) of the porous space and the volume of a sample of the medium. The mathematical expression for the specific surface is:

Where:
is the interstitial or internal area of a pore.
3.- The pore size, is defined as the volume, area or characteristic length of the pores of a sample of a porous medium. A pore can be found in varied and complex ways, so to measure its size it is necessary to consider a priori a certain form of it. Thus, when considering that the pores have spherical shapes, for example, then the characteristic dimension is the radius, the average pore size being the average of all the pore radii, and it is called the average pore radius.
The mathematical expressions to calculate the pore size depend on the form considered a priori, although techniques have been developed that obviate such consideration.
I hope you enjoyed the publication about the research in which I work and that the information is your useful, I will gladly clarify your doubts and concerns about the subject. Thanks for your kind reading.
I wait for you in the next installment, where I will talk about the diffusion process.
Note: The figure 2 is self-made.
Electronic sources:
Printed sources:
Dullien, F. A. L., 2000. Porous Media: Fluid transport and pore structure, 2da edic., Academic Press Inc., Londres, Reino Unido, pp. 6-110, 288-297, 501-562.
Dullien, F. A. L. y Batra, V. K., 1970. Determination of structure of porous media. EN: Flow through porous media, American Chemical Society Publications, Washington D.C., EUA, pp. 12-23.
Torquato, S., 2002. Random Heterogeneous Materials: Microstructure and Macroscopic Properties, Editorial Springer, USA.
Zhang, Z. P.; Yu, A. B. y Dodds, J. A., 1997. Analysis of the Pore Characteristics of Mixture of Disks. Journal of Colloid and Interface Science, 195, pp. 8–18.





Hello, I decided to stop by and leave you a comment as a thank you for sharing your post. I see many voted you but very few left you a comment. According to your definition then the stem of plants should be considered a consolidated porous media. Have you ever done studies on plants? For a small study I did in the past I had to quantify the surface area of some plant stems by measuring the gas adsorption. Their surface area is incredibly high which tells me they must be very porous, have you ever done studies on plants?
Hi @aboutcoolscience, thanks for the comment.
You're right, the stem of plants should be considered a consolidated porous media. So far I have not had the opportunity to do studies in plants. Are you a biologist? For your results, then the pores of the plants have a high specific surface area.
I mainly work on biomedical engineering and gene therapy on bone marrow cells. The one on plants was just a fun side-project I had.
Very interesting your field of work! If I had not studied physics, I would have liked studied to medicine.
it's never too late to learn :)
It is true. At any time I encourage you to study medicine :)