Van der Pauw method to determine the electrical resistivity of arbitrary shape.
Hello Steemit friends.
I want to share with the scientific community #steemstem an method to determine the electrical resistivity of arbitrary shape. I used this method to determine the electrical resistivity of a semiconductor material in the defense of my degree thesis and it gave me very good results.
Let us begin

Source
The van der Pauw method describes an experimental procedure to measure electrical resistivity and Hall coefficient in a sample of homogeneous thickness t, but arbitrary geometry, employing direct current techniques. This method use four test contacts (metallics) separated at a geometric relatively distance, as the figure 1 shows.

Figura 1. van der Pauw method. (a) Dimensions of the study sample; (b) test contacts, experimental notation. @djredimi2
The resistivity measurement is obtained through the cyclic permutation of the current-voltage combinations possible between points 1, 2, 3 and 4. Using a fixed current I, the voltages V21,34, V12,34, V32,41, V23,41, V43,12, V34,12, V14,23 y V41,23 are measured.
the notation used, V ABCD </ sub>, refers to the voltage measured between contacts C and D when current get in for contact A and get out through B. With the Ohm's law, resistivity as a function of resistance is determined as:

where, t is the thickness of the sample and the geometric factor
or
is determined by the relationship,

.png)
Figura 2. Characteristic curve of the geometric factor. @djredimi2
In which the parameters
and
are related to the values measured experimentally, by the relationships:

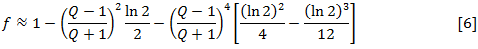
And where the approximate solution to equation [3] according to van der Pauw is:

Finally the electrical resistivity is obtained by the average as,

We justify the average in the arbitrariness of the geometry of the sample, because this results in errors in the measure of the electrical resistivity. Therefore, an adjustment in sections of the electrical resistivity results in a better approximation to the real result.
Att. @djredimi2
Bibliographical References
(1) van der Pauw, J. (1958). “A method of measuring specific resistivity and Hall Effect of discs of arbitrary shape”. Volumen 13. Eindhoven, Netherlands. Philips Research Reports. P.1-9.
(2) ASTM F76-08 International. (2011). “Standard Test Methods for Measuring Resistivity and Hall Coefficient and Determining Hall Mobility in Single-Crystal Semiconductors”. Pennsylvania, EEUU. P.1-7.
