COEFFICIENT OF OPTIC ABSORPTION. PART 2
Hello friends of steemit, here I present the second part of the coefficient of optical absorption.
If you have not seen the first part, I invite you to see it here.

Fundamental or intrinsic absorption in a direct gap semiconductor.

Optical transitions in an indirect gap semiconductor.
Most semiconductors, including silicon and germanium, correspond to this type of material.
The wave vector of a photon is very small compared to the maximum value of the wave vector of an electron in the crystal, since the minimum wavelength of an electron in a crystal is approximately
, while
is of the order of
. Because of this we have the following:

The above correlations, called selection rules for electronic transitions, indicate that during the interaction of the semiconductor electron with the radiation field only such transitions are possible, for which the electron wave vector is conserved.
Let us examine the fundamental absorption for direct transitions between bands of a semiconductor whose valence and conduction bands have spherical symmetry. Suppose that transitions of electrons are produced from a state of the valence band with wave vector corresponding to the interval between , as shown in the following figure:

Direct transitions
In this case, the energy of the absorbed photon, h, can be determined, based on the law of conservation of energy

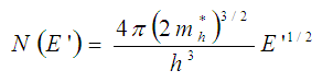
Where:
is the reduced effective mass of the electron and the gap:


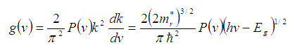
Where:
g (v) is the probability of absorption of the photon in the unit of time.
is the speed of movement of the photon in the material.
n is the refractive index.
c is the speed of light.

Here the coefficient 2 takes into account two possible directions of polarization of the light. The density of the quantum states near the maximum of the valence band is determined by the relationship:

so:

Taking into consideration equation 3 we obtain:

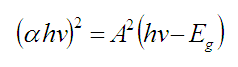
Based on equations 5 and 9, we can write:




Dependence of

Pankove J, (1971),Optical Processes in Semiconductors, New York,Dover Publications.
Hecht E, Zajac A, (1977),Óptica, Fondo Educativo Interamericano.
Díaz R, Merino J. M., Martín T, Rueda F, León M,(1998),An approach to the energygap determination from the reflectance measurements.
McKelvey J. P, (1993),Física del Estado Solido y de Semiconductores, 1º Edición,Mexico, Editorial Limusa.
D.B Gadkari, K. B Lal y B M Arora. (1999). Growth of undoped and Te doped InSb crystals by vertical directional solidification technique, Indian Academy of Sciences.
FurdynaJ.K, (1988), Diluted magnetic semiconductors, Journal of Applied Physcs, Vol 64, Nº 4.
Congratulations @angelinaa! You have completed some achievement on Steemit and have been rewarded with new badge(s) :
Click on any badge to view your own Board of Honor on SteemitBoard.
For more information about SteemitBoard, click here
If you no longer want to receive notifications, reply to this comment with the word
STOP