Steem Power: Need For Logarithmic Soft Caps Explained
https://steemit.com/steemit/@edicted/steemit-has-serious-problems-and-i-have-the-answers

Most people know what exponential growth is. It's that thing that cryptocurrency has been doing this December. Huge gains in a short amount of time. Small numbers get plugged into the equation and big numbers come out. Logarithmic growth is basically the opposite of exponential growth.

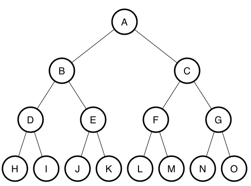
There are many advantages of systems that employ logarithmic growth. Take the above binary search tree, for example. It has 15 entries and will often times take you 4 tries before you find item you're looking for. However, imagine this tree had a billion nodes in it. How many tries would it take before you find the item your looking for? How many levels would the tree be with a billion nodes?
The answer is log base 2 of 1,000,000,000, or if you only have a calculator with log base 10 it would be log(1,000,000,000) / log(2). The answer is about 30. We can check it by looking at what number 2^30 is. 2^30 = 1,073,741,824, so just over a billion; the answer we were looking for. If we had used a linear search algorithm, on average it would have taken half a billion tries before we found the right answer. Instead, we reduced that number to 30. You can see how powerful logarithmic growth applications can be with this example.

Another use of logarithmic functions is in RPGs. Not to be confused with Rocket Propelled Grenades, Role Playing Games and other video games can use logarithmic soft caps to stop players from exploiting mechanics. Similarly, Steemit should be using this soft cap principle to stop users from having more power than they should.
As I've pointed out before, Steem Power is a measure of community trust. The more you interact in a positive way with the site, the more trust you should receive. However, at a certain point awarding more and more trust to the community elite is counter productive and centralizing. For example, should someone who's been here 10 years be five times more trusted than someone who's been here for two years? They are both very trustworthy community members, so this distribution of power is not fair. This is where log caps come in.

Hard Caps vs Soft Caps
A hard cap would be saying you aren't allowed to have more than 100,000 Steem Power. Not a bad idea, but this gives zero incentive have more than 100,000 SP. You would just power down to 100,000. This is bad from an investment and currency stability standpoint. It's better if the community holds on to their crypto instead of cashing out.
A soft cap would use a log function to make it so you could get more than 100,000 SP, but you'd be getting diminishing returns. For example, 200,000 Steem might only equate to 140,000 SP. 300,000 Steem might only be 150,000 SP. This is a better system than hard caps in this situation.
Real Example
Let's look at something more concrete. Because being able to buy SP is a terrible idea, let's focus on capping it at a lower number like 10,000. If you made 10 SP a day on average, it would take you 1000 days to reach this number. This seems like a decent cap to be looking at.
Page 8 of 32 SteemWhitePaper.pdf:
When users vote on content, their influence over the distribution of the rewards pool is directly proportional to the amount of SP that they have. Users with more SP have more influence on the distribution of rewards. This means that SP is an access token that grants its holders exclusive powers within the Steem platform.
So Steemit's equation for reward-pool-allocation-trust is y = x. I'm super unimpressed. So what happens when a Billionaire just decides to buy Steemit? I can tell you guys have really thought this through. However, as you can see, my equation doesn't work either. It does a good job at capping, but having 150 SP would equal a trust weight of ~5000. Oops.

Parabolic Opener
Log gives rewards too fast at the start. This is the opposite of what we want. This would mean bots and people exploiting the rewards pool would earn trust very fast within the community. Therefore, we should think about using three different equations when calculating trust weight from Steem Power. (There's that number 3 again, maybe I'm onto something.). Early on our SP weight function would be parabolic. In the middle it would be linear (y = x). End game we'd use a log function.

I spent entirely too much time trying to figure this out, but it looks much better. The log function is a bit of a disaster, but the parabolic function turned out quite nicely. The parabolic function would be used from 0 to 400 SP.
Function ((x^1.5)/20):
| x (Steem Power) | y (reward-pool-allocation-trust weight) |
|---|---|
| 10 | ~1.6 |
| 20 | ~4.5 |
| 30 | ~8.2 |
| 40 | ~12.6 |
| 50 | ~17.7 |
| 75 | ~32.5 |
| 100 | 50 |
| 150 | ~91.9 |
| 200 | ~141.4 |
| 250 | ~197.6 |
| 300 | ~ 259.8 |
| 350 | ~327.4 |
| 400 | 400 |
'~' means I rounded. ~327.4 is around that number but not exactly. Anyway, you might be thinking, "Hey! I'm going to get totally screwed over by this system! I don't want to lose any SP!" However, you would be incorrect because the whales on the site are getting way more corrected than you are. You might lose half your SP from 100 to 50, but a whale with a 1,000,000 SP is going to get slapped down to 24,455 weight by the soft cap. This mechanic will greatly increase your share of stake in the blockchain if you have less than 10,000 SP. Also, the parabolic opener makes new accounts prove their worth before they are awarded community trust at a 1:1 ratio.

I've said it before and I'll say it again: being able to buy community trust was the worst idea the developers of Steemit could have come up with. They had so many revolutionary ideas, but they messed up the most basic principle of The Blockchain. Blockchain technology is a shift from the old ways of the mega-rich; a way to decentralize wealth and give people what they deserve. If Steemit doesn't change, someone is going to take my ideas (or similar ideas) and smite Steemit into the ground with a superior virtual government. I don't want to wait. I want the future to be now. We have to stop Steemit from becoming, "New boss, same as the new boss." If we don't, Steemit will become nothing more than a pyramid scheme; an oligarchy of elite investors, just like the real world.

Man, this was such a good read! And so true as well, I fear for the same. Especially in light of the current abuse of the reward pools by the elite accounts.
Followed! Hoping to read more of your thoughts on crypto.