Rutherford's Gold Foil Experiment And discovery of a very tiny thing called "Nucleus"

in #science8 years ago

When we look at the objects around us we wonder what is that thing made of, around 2500 years ago two Greek philosopher Leucippus and Democritus came up with the idea that everything around us is made from these tiny particles, They named them A TOMOS (meaning "uncuttable" or "invisible")

In the early 1900's Physicist J. J. Thomson (the guy who discovered electrons) proposed the idea for the structure of an Atom, called "Plum pudding model" (Picture on the right) The big cross in the middle represents the positively charged area, And the bubbles represents the negatively charged electrons.

IMAGE SOURCE: Self Created


Ernest Rutherford & his team conducted an experiment to test the pudding model, the experiment involved shooting a beam of the alpha particles towards a very thin sheet of gold. Plum pudding model predicted that the electric fields in the atom would be too weak to deflect alpha particle significantly as the beam of alpha particle tend to be very fast.

IMAGE SOURCE: Self Created


(HERE COMES THE NUMBERS!!!)
Let's assume the atom is a sphere filled with distributed positive charge as predicted by J. J. Thomson's model.

Consider the variables below as …

Qn = positive charge of gold atom = 79e = 1.266×10−17 C
Qα = charge of alpha particle = 2e = 3.204×10−19 C
r = radius of a gold atom = 1.44×10−10 m
vα = velocity of alpha particle = 1.53×107 m/s
mα = mass of alpha particle = 6.645×10−27 kg
k = Coulomb's constant = 8.998×109 N·m2/C²

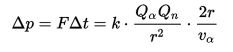
the alpha particle's change in momentum Δp can be calculated approximatlyusing the impulse of force relationship and the Coulomb force expression below.
sp1d5.JPG

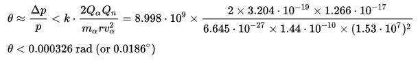
The angel of deflection can be calculated as below

sp1d6.JPG

This is an approximate value for Θ(Theta). But even if we increase the thickness of the foil the value would only vary a little.
sp1d3.JPG


IMAGE SOURCE: Self Created

The experiment was conducted by pointing a beam of alpha particles to a thin foil of gold and measured the scattering using a fluorescent film. But the particle were bouncing off the gold foil like nobody's business. Which was unexpected, the particle must have encountered repulsive electrostatic force which implied that ATOM's positive charge is concentrated in the center.
A few of the particle were deflected by more than 90°.

sp1d4.JPG


IMAGE SOURCE: Self Created

Hence Rutherford rejected JJ THOMSON's Model and proposed a new one in which the atom was mostly empty space with all the positive charge concentrated in its center within a little amount of space. He called it nucleus.

IMAGE SOURCE: Self Created










Sources: Wikipedia.com , BBC
I would also recommend this crashcourse video on Youtube.



3.gif



Daily Fun Fact #13 -- "Burps are basically mouth farts."

-ArrJey
Sort:  

thanks bro :)

wow amazing :)

Thank you so much

Thank you for the lovely post!

Congratulations @arrjey! You have completed some achievement on Steemit and have been rewarded with new badge(s) :

Award for the number of upvotes
Award for the number of upvotes received

Click on any badge to view your own Board of Honor on SteemitBoard.
For more information about SteemitBoard, click here

If you no longer want to receive notifications, reply to this comment with the word STOP

By upvoting this notification, you can help all Steemit users. Learn how here!

Congratulations @arrjey, this post is the fifth most rewarded post (based on pending payouts) in the last 12 hours written by a Dust account holder (accounts that hold between 0 and 0.01 Mega Vests). The total number of posts by Dust account holders during this period was 3291 and the total pending payments to posts in this category was $763.89. To see the full list of highest paid posts across all accounts categories, click here.

If you do not wish to receive these messages in future, please reply stop to this comment.

Thank you

Coin Marketplace

STEEM 0.09
TRX 0.31
JST 0.031
BTC 106776.49
ETH 3880.92
USDT 1.00
SBD 0.61