The golden mean and pi
The golden mean or golden ratio is a very important number due to its occurrences in mathematics, other sciences and nature. It is intrinsically related with the Fibonacci numbers. The golden mean is

It satisfies the equation:

In the present post I will show how the golden mean is related with π, other very important number in mathematics and sciences.
Recently I wrote about Viète's formula, that gives a formula for π as a limit:

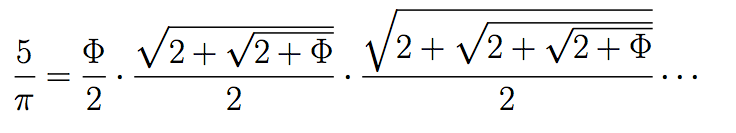
We will use the techniques of the past post in order to show the following identity:

This identity is very beautiful and it can be consider as an application of Viète's formula.
In order to prove it, we start with following identity, due to Euler.

We recall the formula of the cos of the half angle:

Let x=π/5,

Then we have:

Using the identity sin2x+cos2x=1, we compute

and

Let x=2π/5 and substitute it in (1), therefore

which yields

Then

Which is the desired identity.
References:
https://en.wikipedia.org/wiki/Viète%27s_formula
Este articulo fue votado por @provenezuela
Iniciativa cuyo objetivo es incentivar las relaciones de redes humanas, conectando a todas las personas de la lengua más hermosa del mundo.
Gracias por tu trabajo de calidad @nenio
Esta iniciativa es posible gracias a USTEDES los AUTORES
Y al apoyo de los Witnesses que han trabajado arduamente con nosotros en pro de ustedes, de la comunidad @aggroed , @moisesmcardona , @chitty , @nnnarvaez , @ausbitbank. ¡Los invitamos a votar por ellos!
Muchas gracias por el apoyo.
This post received a 20% vote by @msp-venezuela courtesy of @efrageek from the Minnow Support Project ( @minnowsupport ). Join us in Discord.
Upvoting this comment will help support @minnowsupport.
Gracias por el apoyo.
Thanks for your good information love you
Muy buen artículo. Ciertamente el número irracional pi es importantísimo en ciencias. Gracias por compartir esta información @nenio, Saludos!.