SAT Math Question (7) - Exponents

Hey Steemers! I love teaching this section in school! Here is a quick lesson on Exponents!
Rules of Exponents
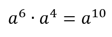
- When multiplying, add exponents. Ex -

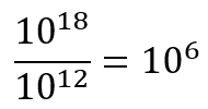
- When dividing, subtract exponents. Ex -

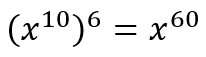
- Power to a power, multiply. Ex -

- Negative exponent, flip! Ex -

- Anything to the power of zero is 1.

Examples

I took Calculus in high school as a senior - in 1996. It helped me to pass the AP test and receive 3 hours of credit for college math. Sadly, 1996 was the last time I had math. But the good thing is I homeschool my kids so I'll get to see it all again at some point. And my husband is good at math which is good. I enjoy it as well.
Hey apanamamama! Love the name btw. Haha. That's awesome! I love Calc. How old are your kids?
My oldest is turning 9 on Monday and the youngest is 2 (with three more in between). :) So we have a little time before Calculus starts. We are still working on just plain old adding and subtracting. :)
Well... Good luck! My high school kids still have problems with it. It's like they were never taught. 11th grade. Embarrassing! Don't let this happen to your kids. It seems you will be fine though. A good mama. Haha. Use a number line!
Use a number line for addition and subtraction?
If you go into negative numbers. Haha
Thank you steemiteducation! I support you 100%.
.gif)
I think it's hard to understand that for a non-specialist but a good job
Hey tag2017! Thanks for the comment! Gotta study hard to do well in school, right? Hard stuff...