How to sketch the graph of a Parabola?- graph of a quadratic equation
Hi everyone, today's post is about sketching the graph of a Parabola. Really, I am very reluctant to post this topic because I really find it hard "to draw" using computer and sketching the graph is very time consuming. I'm just used to chalk and board activity with much talking - a "talkative teacher " you know. But thanks to steemi! It pushes me to explore more, especially in dealing with this "computer thing" in which at my age... lol ! ...am a slow learner. Well any way let's go back to the topic.
The steps in sketching a Parabola, is just actually the same with sketching a line graph. The only different is the equation involved. A linear equation is represented by a straight line while a quadratic equation is represented by a smooth curve. When I was in high school, sketching by hand was not my problem actually. It is in solving for the values of "y"... arghhs! My teacher told me to choose more values of "x" to make a graph more accurate. Meaning I need to find more values of "y" too! Waaaaah! what a long solution... It made me real "flat". Well things has changed, so here I am now sharing you with these stuff.
Now take a look at the following graph

is an example of a Parabola.How to sketch the graph of a Parabola?
Just do the following steps like we did in sketching a linear graph.
● just make sure you know how to solve for the values of "y".
● and you know how to plot points in the coordinate plane.
Step 1
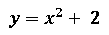
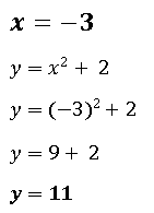
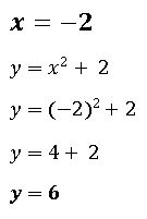
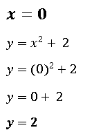
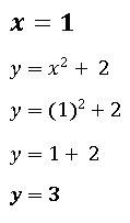
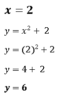
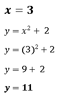
Rewrite the equation by solving " y " in terms of " x " whenever possible.
Step 2
Prepare a table of values by assigning some values of " x "
then solve for the values of "y".
Step 3
Plot the points given in the table in the coordinate plane.
Notice that the pattern is not a straight line
Step 4
Connect the points with a smooth curve.
Done at last!
So what do you think? It's just easy as breathing right! See you next time.
References:
- https://www.wikihow.com/Graph-a-Parabola
- Textbook in Mastering Intermediate Algebra 2












i dnt think it can work
what do you mean @naeemshahzad?
Very well explained with clear images. One shortcut, if you can call it that is to recognize that x^2+2 is merely a translation of x^2. Of course, if you wish to be more careful, a table is the way to go.
thank you so much for visiting my post @drdawud... steemit is best for learning and improvement... my post is more on basic math for my junior class so need extra cautious from time to time😊
Li ĉesis ludi en la arbo. La arbo malĝojis, ĝia ekzekutisto dancis kaj ĝia morteco perdis sian brilon. Dum la jaroj, la adoleskanto revenis. La arbo ĝojis vidi ĝin denove. La junulo sentis, ke li aŭdis, ke la arbo diras: "Ni denove grimpas min. Via malnova arba domo ankoraŭ estas ĉi tie.
This comment links to a scam site, do not click any links. Do not enter your password.
thank you so much @mattclarke for you alarm....especially that I don't understand the language used.