Calculus Derivatives - The Power Rule
Hi there. This math post is an introduction to calculus derivatives with the power rule.
Math text and images are mostly done in TeXWorks and in LaTeX in the form of screenshots. This post can also be found on my website here.

Sections
- The Limit Definition Of The Derivative
- The Power Rule
- Derivatives Examples
The Limit Definition Of The Derivative

The Power Rule
The limit definition of the derivative helps in understanding where the derivative comes from but it is not the fastest. A more efficient way and common way of obtaining derivatives is through the power rule for polynomials.
Consider the polynomial function f(x) of the form:

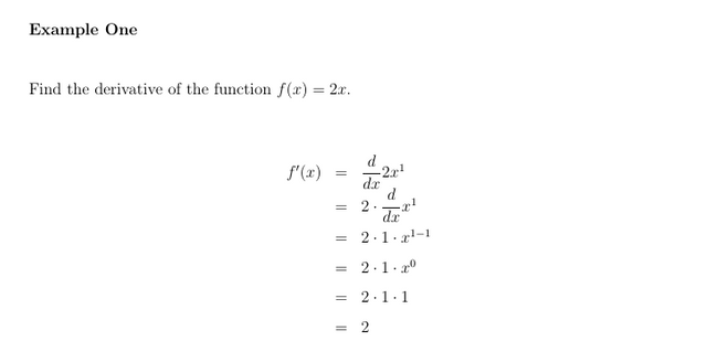
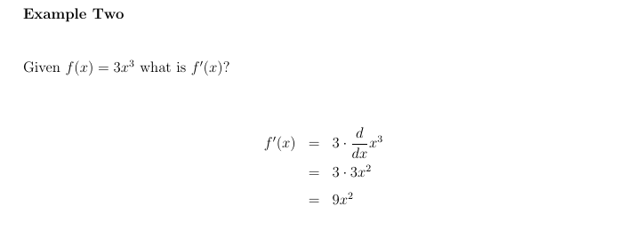
Derivatives Example
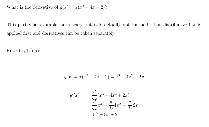
Example Four
About you last example, the distributive is probably the most simple but standard version : (uv)' = u'v + uv' = 1(x2 -4x +2) + x(2x -4) = 3x2 - 8x + 2 sounds ok here. Thanks about your post.
You can also solve that with the product rule as you have shown. I assume that the reader is not familiar with product rule for calculus derivatives.