The Link Between Quantum Physics and the Number Pi

314 is the area code for St. Louis, but March 14th is Pi Day. In honor of pi day (3.14), I've decided to write about the number pi.
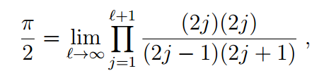
The number pi (π) is an ancient number, known to the Greeks as the ratio between a circle's circumference and the diameter. For practical reasons (i.e. finding the area of a circular plot of land), it was always approximated, and in exact terms, as an infinite series, much later. John Wallis of England proved that pi could be written as:
It turns out that this deceptively simple sequence, composed of only the integers, is the key to a link between quantum physics and mathematics. A 2015 paper by Tamar Friedmann and C. R. Hagen in the Journal of Mathematical Physics, entitled Quantum Mechanical Derivation of the Wallis Formula for π states that:
A famous pre-Newtonian formula for π is obtained directly from the variational approach to the spectrum of the hydrogen atom in spaces of arbitrary dimensions greater than one, including the physical three dimensions.
What does this mean? The "famous pre-Newtonian formula" refers to Wallis' product. The "variational approach" is a mathematical technique used in quantum physics to estimate the energy states of quantum systems, in this case a hydrogen atom. In reality, it's relatively easy to compute these for a hydrogen atom (since we only need to deal with a single electron), but applying the variational approach gives an alternate form of the Wallis formula for pi.
According to the authors of the paper, the discovery was a complete coincidence. Nevertheless, it does show a link on the fact that there are, in their words "there are striking connections between well-established physics and pure mathematics that are remarkably beautiful yet still to be discovered."
Sources used:
Friedman, T. and Hagen C.R., Quantum Mechanical Derivation of the Wallis Formula for π, Journal of Mathematical Physics (2015)