A Guide To Factoring Quadratic Equations (a = 1)
Hello there. This math post is on factoring quadratic equations (with the leading coefficient as 1).
Note: I have used LaTeX, TeXWorks and the Windows Snipping Tool for the math text in the form of screenshots.

Sections
Introduction
The Factoring Method
Examples
Practice Problems
Answers
Introduction
The Factoring Method (a = 1)

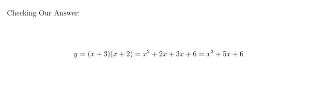
Examples

Practice Problems
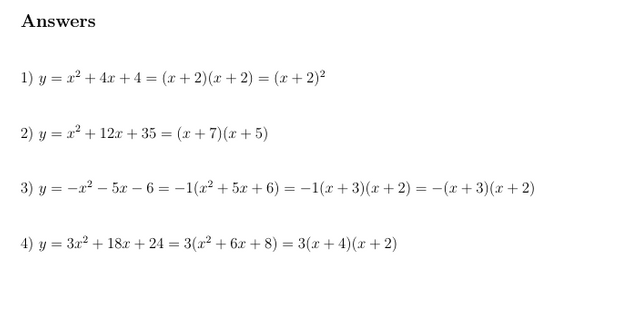
Answers

Though I'm not a big fan of mathematics but your solutions are explanatory and understandable.
I try to make my math posts rigorous and accessible. Thank you for reading and your comment.
I really admire the way you presented your post here. For real, I learned from you so much
Thank you @fabio2614. You have good math content here on Steemit as well.
You're welcome... Always
this is amazingly done
Thank you.