[math, computation] properties of structure constant of SU(N)steemCreated with Sketch.

in #math8 years ago (edited)

Sophus_Lie.jpg

[Sophus Lie-Wikipedia]

Today I am going to talk about some properties of structure constant of SU(N) group. I am a big fan of computing and deriving some mathematical stuff. But unfortunately, there are some technical issue of writing equations and expressing terms in Steemit. In this post I convert each equation into JPEG and upload it.

In the last post I mention Wilhelm_Killing [which was on Korean] and give some examples of computing killing vectors on two dimensional sphere. Since he is one of the pioneer of Lie algebras, I came up with Lie groups and its relevant exercise.

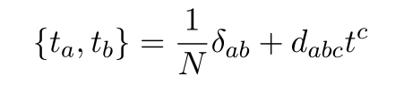
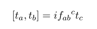
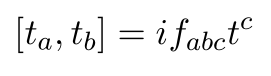
In group theory, typically in Lie groups, we frequently encounter the group generators and structure constants. Here focusing on SU(N), i'd like to show some explicit computation related with totally anti-symmetric fabc.pngand totally symmetric dabc.png constants. Since I am considering on SU(N) group, the generators ta.pngare traceless and hermitian.

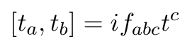
The generator satisfies
식1.png
where ta.png stands for generator and fabc.png is structure constant.

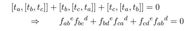
From Jacobi identity, we have
식2.png
This is very important relation in many computation in Lie algebra.

Note In the semi-simple Lie algebra over complex number, we have a non-degenerate Cartan Killing form, (i.e. non-singular metric) which we can raise or lower the indices. Our SU(N) case belongs to this thus we have

식3.png

Now I'd like to talk about representation. We can choose particular representation which decide some relation between generators, for example

식4.png

where TR.png
is called Dynkin index and CR.png is called Casmir and R denote representation. We can pick particular values of Dynkin and Casimir by choosing particular group representation.

식5.png

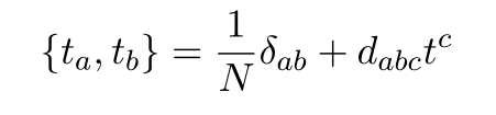
Here we will focus on the Fundamental representation. By imposing anti-commutation relation between generators we have some additional constant dabc.png

which is given by

식6.png

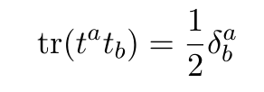
Since in fundamental representation we have 식7.png

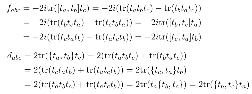
By contraction with generator and taking trace we can express explicit form of fabc.png and dabc.png

The detail procedure are given as follows

식8.png

Note in the process we used traceless property of generators of SU(N)

At this moment, we can talk about symmetric properties of these constants which is the purpose of this post. It is well known that fabc.png is totally anti-symmetric and dabc.png is totally symmetric. At my first trial of exercise of showing this in SU(3) i show this by explicit computation using Gell-Mann matrices, and find all non-vanishing constants. One of my friend ask is there any other ways of showing this properties, not by exhausting computation? and at that time i didn't know this method. After some familiar with these topics i noticed this method, and i think it is good time to share this method.

Since these constants are written in terms of trace, i guess one of you already get answer. Using the property of trace tr_abc.png

we can show it more convenient way. The detail process are given as

식9.png

Now we can see indeed fabc.png is totally anti-symmetric and dabc.png is totally symmetric!

Sort:  

I feel you may want to define Lie groups first, or at least give a moviations for Lie algebras. And it's also notable that you use (anti-)commutators without introducing them first. This way, this will have a very narrow range of people who can understand it, while not knowing it already. Maybe add more links in the intro too - although of course that's work.
PS In English, I (i.e. "me") is written with a capital I and it's "i.e." and not "i.e,".
Keep up the good work
@qed

@qed, Nice comment and thanks for your attention. The reason why I did not define Lie group and for other motivation or explanation for some notation is in some sense i'd like to make some other post to explain them in more detail. If I include every details of basic things into a one post, I think that both novice and some relevant student may lose their attention on this post. So at that purpose, I write this post aiming some relevant student who study this subject. In some days, I will try to make a post for general audience. Anyway I understand your meaning and try to adapt your opinion in my future posts.

And thanks for clarifying my English and attention to my post. I will apply your words

Thanks, look forward to more posts.

!-=o0o=-!

To follow curated math content follow @math-trail.
If you wish @math-trail to follow you then read this article.
Click here for Mathematics forum on chainBB

Cool.
Take care!

Btw. there is a Wiki by a frantic guy who classifies groups in unending detail
https://groupprops.subwiki.org/wiki/Main_Page

Coin Marketplace

STEEM 0.10
TRX 0.32
JST 0.032
BTC 111520.27
ETH 4021.09
USDT 1.00
SBD 0.62