[math, computation] ADS geometry

in #math8 years ago

Today I am goint to talk about ADS geometry. which is called anti-de sitter space .
First of all, there is de sitter space which named after astronomer Willem_de_Sitter. Mathematically, anti-de-sitter space is a "maximally symmetric space of Lorentzian manifold with negative scalar curvature". Let's talk this in more detail. The terminology maximally symmetric means it has maximum number of killing vector, and Lorentizan means introducing time variable with different sign, and negative scalar curvature means, its Ricci scalar is negative.

Physically, it means among the solution of Einstein's field equation, it has negative cosmological constant. (For this cosmological constant term let's call it shortly c.c. If c.c=0, this maximally symmetric space represent Minkowski space, and for positive c.c, it denotes de-sitter space. )

Let me introduce some famous picture which often mention when we came up Ads space.

원의극한4.jpg

[Mauritz Cornelius Escher, Circle Limit IV]

Which figure did you see? Devil or angel?

Since ads geometry has negative curvature, the figures in the middle seems big but as going for the boudnary the figures become smaller.


Now think of some computation, in this post i want to check its definition starting from its ads metric.

First in D-dimensional ads spacetime in poincare patch[maybe latter I will post about this in more detail, this is kinds of representation of coordinate], the shape of metric is given as follows
식1.png

here the index 식2.png 식3.png A,B denotes space time and \eta_{\mu\nu} means flat D-1 Minkowski metric. Write this in a traditional way [as in the context of general relativity] we can write
식4.png
with this we can compute its connection and Riemann tensor. Before that we have to know the shape of differentiation of metric. Since except z-direction, this metric is essentially flat, thus

식5.png
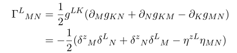
with this we can compute connection. Since Einstein's General relativity is torsion-free case, without dififculty by plugging the formula for christoffel connection we have
식6.png
collecting non-vanishing terms we have
식7.png
Now we can compute Ricci tensor and Einstein tensor.

식8-1.png
Plugging above formula for Ricci tensor we have

식8-2.png

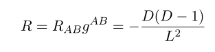
Furthermore we can see negative scalar curvature as follows.

식8-3.png
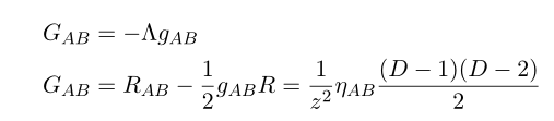
Now we can compute Einstein tensor.

Before first see Einstein equation

식9-1.png

Since we are discuss no-matter case, the RHS is zero, thus we have

식9-2.png
Re ordering this we can see it has negative cosmological constant as follows.
식10.png

Finally starting from ads metric we have checked it has negative Ricci scalar and negative cosmological constant!

Sort:  

Great post! In a sense, an anti De Sitter space is usually embedded in a space with "Lorentzian metric" that has 2 time dimensions instead of 1.

yes , you're right. We can realized ads_D as a hyperbolid embedded in D+1 dimensional geometry, So the isometry of ads_D is SO(2, D-1). Thus in a sense of Lorentzian metric, we have 2 time dimension!

Thanks - upvoted and resteemed. I'd like to include a link to this article in the next Math-Trail Magazine - hope that's OK with you!

!-=o0o=-!

To follow curated math content follow @math-trail.
If you wish @math-trail to follow you then read this article.
Click here for Mathematics forum on chainBB

I saw your reply right now. I am happy to hear that!! I'm okay~

Coin Marketplace

STEEM 0.09
TRX 0.32
JST 0.033
BTC 111017.83
ETH 3958.15
USDT 1.00
SBD 0.63